
La hora de los artistas cibernéticos en el arte llegó. Hoy, la casa de subastas Christie's, Nueva York, vendió el retrato de El Retrato de Edmond Belamy por USD 432.500, realizado íntegramente por un algoritmo, a un comprador anónimo que realizó la compra por teléfono.
"¿Se convertirá la inteligencia artificial en el próximo medio del arte?", se preguntaba en su página web Christie's, al momento de presentar la obra en la categoría Print & Multiples, que salió al mercado por USD ocho mil.
La pieza forma parte de una serie de retratos de autoría artificial ideada por el colectivo francés Obvious, integrado por el ingeniero Hugo Caselles-Dupré y sus amigos Pierre Fautrel y Gauthier Vernier.

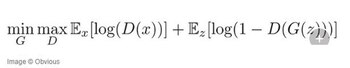
En 2017, los tres se propusieron explorar la relación entre el arte y la inteligencia artificial y para eso idearon un sistema al que llamaron GAN (Generative Adversarial Network), que era capaz de crear piezas a partir de información y de otras pinturas.
"Alimentamos el sistema con un conjunto de 15.000 retratos pintados entre el siglo XIV y el XX. El generador crea una nueva imagen basada en el conjunto, y luego el discriminador intenta detectar la diferencia entre una imagen hecha por humanos y una creada por el generador. El objetivo es engañar al discriminador para que piense que las nuevas imágenes son retratos de la vida real", explicó Caselles-Dupré.
SIGA LEYENDO
Arte, joyería, diseño y antigüedades en la nueva edición de TEFAF en Nueva York
Salen a subasta cinco obras de Banksy: ¿volverá a destruirlas en público?
Últimas Noticias
Asilo político para Nicolás Maduro en Colombia: experto marcó el impacto que tendría en el mundo
La canciller de Colombia, Rosa Yolanda Villavicencio, abrió la puerta para una posible recepción del dictador en el país cafetero

Atlético Nacional vs. Medellín EN VIVO, final de la Copa BetPlay 2025: siga el minuto a minuto en el Atanasio Girardot
En otra edición del clásico paisa, verdes y rojos se citan en el Coliseo de la 70 para jugar los primeros 90 minutos del torneo que entrega cupo a la Copa Sudamericana 2026

Alianza Lima vs Universitario EN VIVO HOY: minuto a minuto de la final vuelta por la Liga Femenina 2025
Las ‘blanquiazules’ y las ‘leonas’ empatan 1-1 en VIDU para definir al campeón del torneo nacional y llegarán con ventaja: le ganaron por 3-1 en la ida. Sigue las incidencias del decisivo cotejo

Final del Mundial de Clubes de vóley 2025: día, hora y canal TV del Imoco Conegliano vs Savino Del Bene
Los dos equipos italianos definirán al nuevo campeón del máximo certamen de la FIVB. Habrá un duelo histórico entre Antropova y Gabi en Sao Paulo, Brasil

JNE anula las Elecciones primarias de Acción Popular por “vicios sustanciales”y lo deja fuera de las Elecciones 2026
El máximo organismo electoral detectó discrepancias entre los delegados reconocidos por Acción Popular y los consignados oficialmente por la ONPE durante las elecciones internas del 30 de noviembre


