
El mapa de casos de coronavirus en México, representado con tres colores, revela los estados con mayor foco de infección en color rojo, las regiones colindantes con los de alta transmisión en color amarillo, y los de cero casos en verde, según informó ayer el subsecretario de salud, Hugo López-Gatell, quien además destacó que ya se puede saber qué municipios tienen mayor número de infectados.
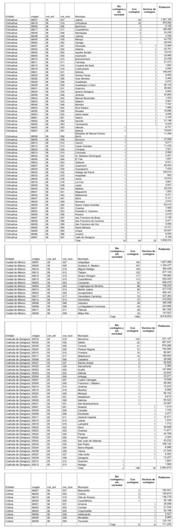
De acuerdo con la tabla de distribución, la Ciudad de México encabeza la lista de más contagios, pues en sus 16 alcaldías hay reporte de infectados, siendo Iztapalapa la de mayor número de contagios con 193; Gustavo A. Madero (167); Miguel Hidalgo (146); Tlalpan (122); Álvaro Obregón (117); Cuauhtémoc (113); Coyoacán (92); Cuajimalpa de Morelos (88); Benito Juárez (83); Azcapotzalco (71); Venustiano Carranza (70); Xochimilco (70); Iztacalco (58); Magdalena Contreras (40); Tláhuac (26); Milpa Alta (24).

Entre todas las alcaldías de la CDMX suman ocho millones 918,653 de habitantes, de los cuales, 1,480 dieron positivo a COVID-19.
Hasta las primeras horas de este viernes 17 de abril, hay 6,297 enfermos y 486 decesos a nivel nacional, donde los cinco estados con más registro de pacientes contaminados son: Ciudad de México con 1,828; Estado de México (695); Baja California (505); Sinaloa (327) y Puebla (305), mientras que el de menor número de infectados es Colima, con sólo 7.

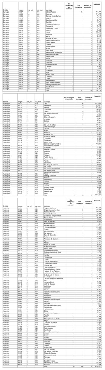
Según la lista, los primeros 10 municipios de 125 que conforman el Estado de México con más contagios son: Nezahualcóyotl (90); Ecatepec (83); Naucalpan (74); Tlalnepantla (73); Huixquilucan (58); Nicolás Romero (38); Cuautitlán Izcalli (36); Atizapán de Zaragoza (35); Toluca (34); Tultitlán (30).

En el estado de Baja California, Tijuana encabeza la lista de municipios con mayor foco de infección con 271: Mexicali (169); Los Cabos (116); La Paz (47); Tecate (11); Ensenada y Playas de Rosarito (5) y Mulegé (1).

En Sinaloa, las regiones con mayor concentración de enfermos son: Culiacán (223); Ahome (21); Mazatlán (14); Navolato (11); Salvador Alvarado (8).

La entidad de Puebla también tiene sólo cinco regiones con más infectados y son: Puebla (189); San Andrés Cholula (26); San Pedro Cholula (13); Izúcar de Matamoros (10) y Atlxco (8).

El mapa técnico que representa las zonas de infección con colores, fue diseñado por el líder de estrategia digital nacional, Emiliano Calderón, con él, López-Gatell explicó que 979 municipios levantarán la cuarentena y regresarán a sus actividades normales el próximo 17 de mayo. “Todas las zonas verdes van a poder regresar a la normalidad el 17 de mayo. Esto incluye la actividad escolar”, explicó.

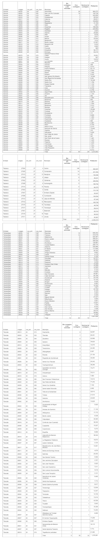
De acuerdo con la tabla de la distribución de casos, el estado con mayor número de municipios que registran menos casos con COVID-19 es el de Veracruz.

El subsecretario de educación aclaró que la reactivación de la normalidad dependerá de las personas, pues son quienes acatan o no, las medidas de quedarse en casa y sana distancia. “Todo depende de que se sigan cumpliendo las medidas".

Asimismo, anunció que la sana distancia debe mantenerse en todo la República Mexicana hasta el 30 de mayo y llamó a la población a no visitar las zonas aledañas para evitar más contagios.

“Pedir que las personas que viven en zonas bajas de transmisión no se desplacen a las que tienen más casos", destacó.

Recalcó que la Secretaría de Educación, será el organismo que definirá las condiciones que se implementarán para el regreso a clases.

“La próxima semana tendremos la participación del secretario de Educación Pública, para que pueda proyectar cómo será la recuperación y movilidad en las escuelas”, relató.
Hugo López-Gatell detalló que de acuerdo con el método Centinela de epidemiológica, serían 55,951 personas infectadas con COVID-19, pues estiman no se contabilizado porque son asintomáticos o aún no se han hecho las pruebas.
MÁS SOBRE EL TEMA
Más Noticias
La historia de “El Mencho”: cómo el líder del CJNG se convirtió en uno de los narcotraficantes más buscados en el mundo
Nemesio Oseguera Cervantes dirigió la organización criminal al menos desde el año 2000 y logró expandirlo a la mayoría de los estados de México y a varias ciudades de los Estados Unidos

700 años de Tenochtitlan: cómo un pueblo errante y repudiado se convirtió en el poderoso imperio de América
La fascinante la historia de cómo un puñado de personas con un sueño buscaron su identidad, fueron obligados a vivir en un islote marginal y lograron alianzas poderosas en el continente

La mujer que dobló al sistema y llevó el feminicidio a la SCJN para hacer justicia por su hija, que no se suicidó
La incansable lucha de Irinea Buendía hizo que las autoridades judiciales reconocieran la negligencia del caso de su hija Mariana Lima, pero además la gravedad del problema y las omisiones de las autoridades

David Alfaro Siqueiros en la prisión de Lecumberri: vida y obra del muralista en el “Palacio Negro”
El artista fue detenido acusado de disolución social y del intento de asesinato de Trotski. Esta es la historia poco conocida de su etapa como interno en una de las prisiones más duras en la historia

Qué es la meningitis, cuáles son sus síntomas y cómo tratarla
En algunos casos, esta enfermedad mejora sin tratamiento en algunas semanas, pero en otros pueden poner en riesgo la vida y requerir tratamiento con antibióticos de emergencia



