
Los bonos soberanos argentinos están en un tobogán. Pese a un levísimo repunte el día de hoy, cayeron en todas las ruedas previas de lo que va de 2022 y el riesgo país amenaza con trepar hasta los 2.000 puntos. La falta de avances en las negociaciones con el FMI en medio de la perspectiva cierta de la imposibilidad de pagar vencimientos con el organismo previstos para este año por encima de los USD 19.000 millones tiene mucho que ver con el rojo de los mercados. Pero más allá de esa coyuntura el por qué de un derrotero en el que, tras conseguir algo de alivio para su deuda con la reestructuración de 2020, el frente financiero no logra repuntar tiene una explicación más simple.
El econmista de Invecq, Santiago Bulat, salió a explicar en redes sociales por qué los bonos argentinos muestran bajas casi a diario. Y por qué no hay al menos hasta ahora, perspectivas de mejora en los precios. La deuda, tal como están planteadas las variables de la economía argentina, no se sostiene.
“El Riesgo País está cerca de los 2.000 puntos. La métrica se asocia inversamente al precio de los bonos soberanos (los emitidos por el Gobierno). Si sube el precio de los bonos, el riesgo país baja y a la inversa. ¿Hay espacio para que baje?”, se preguntó a través de su cuenta de Twitter.

“Para que pase esto deberían subir los bonos. Tanto el Bonar 2030 (AL30) como el Global 2030 (GD30) vienen cayendo desde que comenzó el año. ¿Por qué subirían los bonos? Básicamente debe haber dos puntos: (a) capacidad de repago y (b) voluntad de repago del gobierno argentino”, agregó.
“Hay 4 factores que determinan que una deuda o no sostenible: i) el resultado fiscal, ii) la tasa de interés que pague, iii) el nivel de crecimiento económico y iv) el stock deuda sobre PBI. La última reestructuración solo mejoró la segunda, pero no modificó el resto”, se explayó.
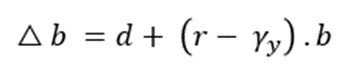
“La siguiente ecuación de sostenibilidad dice: la deuda (Δb) va aumentar si la diferencia entre crecimiento de la economía y la tasa de interés ‘(r-y)’ no alcanza a compensar el tamaño del déficit fiscal ‘d’”, dijo.

“Si partimos de un nivel de deuda alto y el déficit es muy grande, el crecimiento de la economía tiene que ser mucho mayor a la tasa de interés para que el nivel de deuda no siga aumentando. Argentina quiere apostar a esto. Lamentablemente es difícil que solo el crecimiento permita hacer la deuda sostenible. Ejercicio simple: con un nivel de déficit de 3%, la economía debería crecer aproximadamente 7% para que el ratio deuda PBI no torne explosivo. Por eso se exige un nivel de déficit menor y más acelerado”, agregó.
La imposibilidad de compensar con crecimiento a tasas chinas la falta de sustentabilidad de la deuda, explicó Bulat a Infobae, también se puede graficar a la inversa.
Asumiento un crecimiento del 3% para la economía este año, el déficit debería ser del 1,5% del PBI para que la deuda se mantenga estable en relación al producto. Está previsto que llegue al doble, el 3%.

Hay más elementos para entender por qué los inversores huyen de los bonos argentinos.
“La composición de la deuda también suma. Si bien en no debería cambiar la capacidad de repago de la deuda cuando haya superávit fiscal, un shock externo puede influir negativamente sobre los precios relativos: a un determinado precio los USD siempre aparecen”, explica Bulat.
“Después de analizar la prioridad: tasa, déficit, crecimiento, stock y voluntad de pago, se incorporan 3 puntos sobre la estructura para evaluar la sostenibilidad: i) la concentración de vencimientos, ii) el tipo de moneda iii) tenencia en mano de no residentes”, abundó.
“En la discusión de Argentina se mete de lleno la emisión de deuda en pesos pero indexada a la inflación (la que más se emitió). Donde se advierten varios puntos: con un shock externo que afecta el tipo de cambio, también se afectan los precios locales. La inflación ‘aprovechada por inversores’ y afectando a las clases bajas, que no ahorran en el mercado, es regresiva y, además, el traslado a otros sectores de la sociedad y la persistencia inflacionaria son mayores cuando la deuda es indexada”, comentó.
“En definitiva, el poco apetito de los bonos argentinos hoy, que deriva en un aumento del Riesgo País, está asociado al sendero sobre el déficit y la acumulación de deuda futura en base al crecimiento que logre la Argentina”, concluyó Bulat.
SEGUIR LEYENDO:
Últimas Noticias
De cuánto son las Asignaciones Familiares de ANSES en febrero 2026
El organismo previsional dispuso una actualización de los importes y el calendario de cobro para millones de hogares argentinos, con nuevos valores determinados a partir de la variación del Índice de Precios al Consumidor y las escalas por ingreso familiar

Semáforo de actividad: cuáles fueron los sectores que más crecieron y los que más cayeron en 2025
Intermediación financiera lideró el crecimiento y la industria manufacturera atravesó una nueva fase recesiva, en un contexto de resultados dispares entre los distintos rubros

Comercio exterior: la cantidad de productos importados creció tres veces más que las exportaciones en 2025
Impulsadas por los bienes de consumo y vehículos, las importaciones crecieron un 30,5% en 2025, triplicando el avance de las cantidades exportadas

Caputo reconoció que las tasas de interés “están altas” y pronosticó cuándo empezarían a bajar
El ministro de Economía atribuyó el incremento de los rendimientos a la volatilidad preelectoral. La semana que viene, deberá enfrentar vencimientos de deuda en pesos por casi $10 billones

Boom de los SUV: el segmento ya alcanzó el 35% del mercado y podría terminar 2026 como líder en ventas de autos 0 km
En tres años pasaron de ser el segmento más chico al que domina los patentamientos. En enero hubo 4 modelos entre lo 10 autos más vendidos y a fin de año tendrán dos vehículos peleando por el número 1 absoluto en Argentina



