
* Este contenido fue producido por expertos del Instituto Weizmann de Ciencias, uno de los centros más importantes del mundo de investigación básica multidisciplinaria en el campo de las ciencias naturales y exactas, situado en la ciudad de Rejovot, Israel.
En el futuro, se prevé que las computadoras cuánticas resuelvan problemas que antes se creían irresolubles, desde predecir el curso de las reacciones químicas hasta producir pronósticos meteorológicos altamente fiables. Sin embargo, por ahora, siguen siendo extremadamente sensibles a las perturbaciones ambientales y propensas a la pérdida de información.
Un nuevo estudio del laboratorio del Dr. Yuval Ronen en el Instituto de Ciencias Weizmann, publicado en Nature, presenta nueva evidencia de la existencia de anyones no abelianos: partículas exóticas consideradas candidatas principales para construir una computadora cuántica tolerante a fallos. Esta evidencia se produjo dentro del grafeno bicapa, un cristal de carbono ultrafino con un comportamiento electrónico inusual.
En mecánica cuántica, las partículas también se comportan como ondas, y sus propiedades se describen mediante una función de onda, que puede representar el estado de una sola partícula o de un sistema de partículas. Los físicos clasifican las partículas según cómo cambia la función de onda de dos partículas idénticas al intercambiar posiciones. Hasta la década de 1980, solo se conocían dos tipos de partículas: los bosones (como los fotones), cuya función de onda permanece inalterada al intercambiar posiciones, y los fermiones (como los electrones), cuya función de onda se invierte.

Sin embargo, en 1982, los científicos descubrieron un nuevo estado de la materia que permitió la existencia de un tercer tipo de partícula, uno que no se produce de forma natural. Cuando estas partículas intercambian posiciones, su función de onda puede rotar en cualquier ángulo entre 0 y 180 grados; de ahí su nombre, “anyons”, de la palabra [en inglés] “any” [que en español significa cualquiera, ninguno o algunos].
Las computadoras cuánticas actuales aún son limitadas; para ser verdaderamente útiles, deben ser confiables. Nuestro estudio acerca a los científicos un paso más.
Los anyones aparecen solo en condiciones extremas: a temperaturas cercanas al cero absoluto, en presencia de un campo magnético intenso y fuertes interacciones entre partículas, y únicamente en sistemas bidimensionales: materiales ultrafinos donde el movimiento vertical es imposible. En estas condiciones, los electrones del material dejan de comportarse como partículas completas y, en cambio, actúan como fracciones de electrones: los anyones.
Según la teoría, existen dos tipos de anyones. En los anyones abelianos, el intercambio de posiciones solo añade una fase a la función de onda; en los anyones no abelianos, el intercambio no solo añade una fase a la función de onda, sino que también altera su forma. Los electrones fraccionarios con un denominador impar (como un tercio de electrón) son anyones abelianos, mientras que aquellos con un denominador par (como un cuarto de electrón) se consideran no abelianos.

“En los anyones no abelianos, el intercambio de posiciones deja huella en la forma de la función de onda”, explica Ronen. “Si tomamos tres anyones no abelianos e intercambiamos el primero con el segundo y luego el segundo con el tercero, obtenemos una función de onda con una forma muy diferente a la que obtendríamos si los intercambiáramos en otro orden. Esto proporciona una forma de codificar y almacenar información, una de las condiciones clave para construir una computadora cuántica”.
“En algunos modelos existentes”, añade, “los cúbits —las unidades básicas de información en una computadora cuántica— son partículas individuales sensibles al ruido ambiental. En los anyones no abelianos, la información sobre el orden de los intercambios no se almacena localmente, sino en la función de onda de todo el sistema. Los sistemas cuyas propiedades esenciales se conservan a este nivel son resilientes a las perturbaciones locales. Estos sistemas se conocen como topológicos y ofrecen una de las vías más prometedoras para la computación cuántica fiable”.
Aunque recientemente los científicos han logrado medir anyones abelianos, aún no se han observado directamente anyones no abelianos.
De la óptica clásica a la computación cuántica
En el nuevo estudio, dirigido por el Dr. Jehyun Kim y Himanshu Dev, del grupo de Ronen en el Departamento de Física de la Materia Condensada de Weizmann, los investigadores utilizaron grafeno bicapa, una especie de sándwich compuesto por dos capas de carbono de un átomo de grosor, dispuestas en una red de panal. En este material desarrollado recientemente, las condiciones esperadas para albergar anyones no abelianos son estables, y los científicos pueden controlar con precisión sus trayectorias de movimiento.

El experimento de Weizmann se basó en un famoso sistema óptico del siglo XIX en el que un haz de luz queda atrapado entre dos espejos. Cada vez que el haz incide y se refleja en uno de los espejos, su función de onda gira un ángulo o fase determinado. Mientras el haz reflejado no esté sincronizado con el original, se anulan mutuamente, produciendo una luz débil. Tras varias reflexiones, la función de onda completa una rotación y vuelve a su fase original, de modo que los haces se sincronizan, produciendo una luz brillante. Esto crea un patrón de interferencia de bandas alternas de luz y oscuridad, a partir del cual los físicos pueden inferir las propiedades de la onda de luz original atrapada entre los dos espejos.
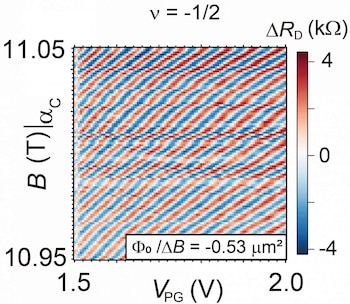
En la versión cuántica de este experimento, los investigadores primero sintonizaron los electrones del grafeno bicapa a un estado que se esperaba albergara anyones no abelianos. A continuación, crearon una trayectoria en bucle en la que la onda de un anyón rodeaba una isla que contenía otros anyones y un campo magnético, antes de regresar para encontrarse con su onda original.
En la primera etapa, los investigadores examinaron únicamente cómo el campo magnético afectaba la fase del anyón en órbita. Con cada revolución, la fase de la onda de retorno cambiaba bajo la influencia del campo magnético, y al encontrarse con la onda original, se anulaban o se reforzaban mutuamente. Al igual que en el experimento óptico, esto produjo un patrón de interferencia, pero en este caso el patrón consistía en bandas alternas de alta y baja resistencia eléctrica, a partir de las cuales se podían deducir las propiedades del anyón circundante.
“En nuestro experimento, logramos medir un electrón fraccionario con denominador par”, afirma Ronen. “Contrariamente a la suposición predominante de que los anyones no abelianos tienen una cuarta parte de la carga de un electrón, nos sorprendió descubrir que una onda correspondiente a la mitad de un electrón orbitaba la isla. Tras experimentos adicionales, estimamos que esto ocurre porque dos anyones no abelianos orbitan la isla juntos, aunque aún no hemos logrado separarlos. Aun así, esto representa un paso importante hacia la identificación y medición directa de los anyones no abelianos, y ahora estamos trabajando en aislarlos”.

Los investigadores realizaron entonces otro experimento para caracterizar las partículas dentro de la isla, que interactúan con la partícula en órbita. Al variar la densidad electrónica dentro de la isla y examinar cómo esto afectaba la función de onda del anyón en órbita y, por lo tanto, el patrón de interferencia, pudieron deducir las propiedades de las partículas de la isla. Los cambios en la pendiente de las líneas de interferencia indicaron que las partículas internas portaban una carga de un cuarto de electrón, como se esperaba para anyones no abelianos. Esto concordaba con experimentos previos de tunelización en el laboratorio del profesor Moty Heiblum, también en el Instituto Weizmann.
“Hemos demostrado que el grafeno bicapa alberga casi con certeza partículas que son anyones no abelianos”, concluye Ronen. “El siguiente paso es observar directamente la 'memoria' de un sistema anyon no abeliano; en otras palabras, medir cómo cada orden de intercambio de partículas deja una firma única en la función de onda. Las computadoras cuánticas actuales aún se limitan a aplicaciones de investigación limitadas, y para ser verdaderamente útiles, deben ser fiables. Nuestro estudio acerca a los científicos un paso más al desarrollo de computadoras cuánticas tolerantes a fallos”.
Para describir el estado cuántico de sólo 300 qubits (es decir, para almacenar toda la información que contienen), una computadora clásica necesitaría contener más de 34 quintillones de números complejos.

También participaron en el estudio Amit Shaer, el Dr. Ravi Kumar, el Dr. Alexey Ilin, el Dr. André Haug, Shelly Iskoz, el Prof. David F. Mross y el Prof. Ady Stern del Departamento de Física de la Materia Condensada de Weizmann; y los Profs. Kenji Watanabe y Takashi Taniguchi del Instituto Nacional de Ciencias de los Materiales, Tsukuba, Japón.
La investigación del Dr. Yuval Ronen cuenta con el apoyo de la beca anual Shimon y Golde Picker-Weizmann y del Programa de Ciencia Colaborativa Schwartz Reisman.
Últimas Noticias
Giganotosaurus carolinii: así era el dinosaurio que rivalizó en tamaño con el T. rex y dejó su huella en la ciencia
El descubrimiento en el sur de Argentina aportó nuevas pistas sobre uno de los mayores carnívoros prehistóricos, su entorno cretácico y las estrategias de caza que definieron el dominio de los dinosaurios en Sudamérica

Las gaviotas incrementan el robo de comida en zonas urbanas
El fenómeno de la sustracción de alimentos por parte de estas aves se volvió más común en ciudades y áreas turísticas, lo que despierta el interés entre científicos, autoridades y ciudadanos sobre sus causas y consecuencias

De ratones a moscas de la fruta: los modelos digitales que cambian la forma de estudiar el cerebro
Herramientas interactivas y simulaciones informáticas están redefiniendo cómo los científicos analizan la estructura y el funcionamiento neurológico a lo largo del desarrollo

Por qué el asteroide 2024 YR4 no impactará la Luna en 2032: el hallazgo clave que descartó el riesgo
El análisis de datos obtenidos por el telescopio espacial James Webb permitió refinar su trayectoria

Científicos descubren cómo un microbio vital para el océano se adapta al calentamiento global
El estudio revela que una de las especies más abundantes del plancton marino mejora su capacidad para mantener funciones esenciales bajo temperaturas elevadas


